ABELLS295 ACS+IR detection object #2941

Color images and BPZ results
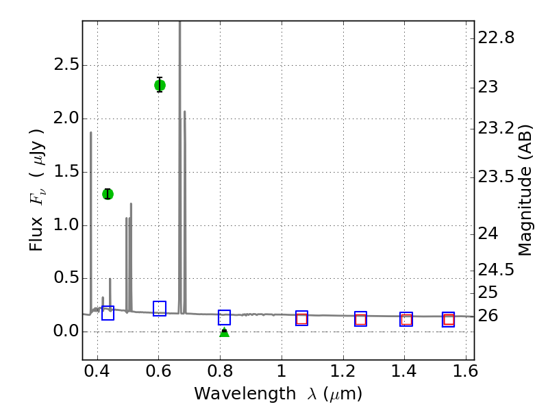
Catalog: 2941.cat
Black segments are analyzed here.   Roll mouse over color images to view segments.
Best viewed in a wide browser window (1200 pixels or more).   Download SED & P(z) plots to view larger versions.
In P(z) plots: Yellow lines mark the cluster redshift z = 0.300,  

Object #2941   x,y = (753, 2761)   RA, Dec = (02:45:41.136, -53:02:11.40) = (41.42140, -53.03650)   BPZ = 0.018 [0.010--0.043]   type = 11.00 (SB11_A_0_l)   chisq2 = 1504.00   ODDS = 0.98   z_cluster = 0.300