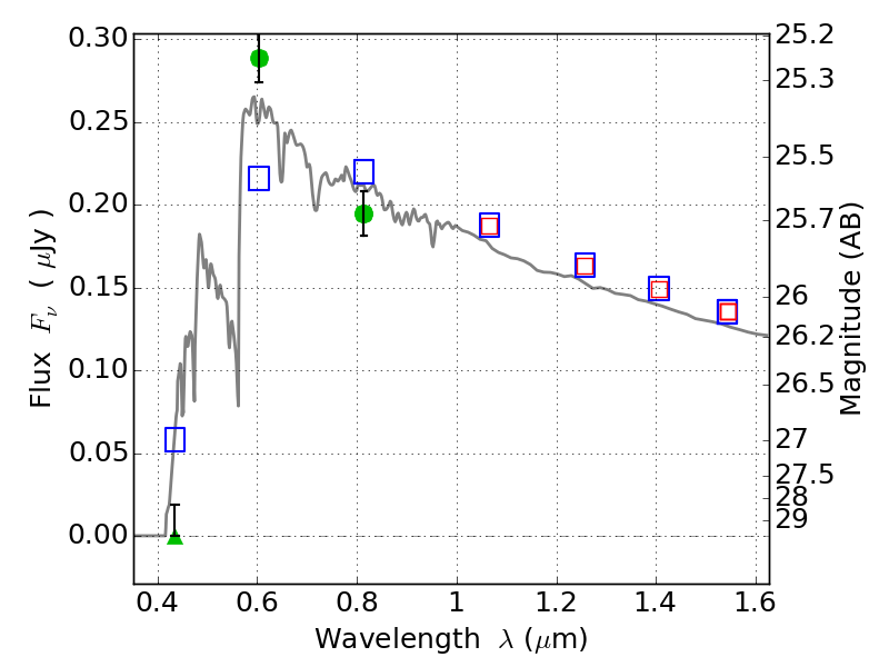
ABELLS295 ACS+IR detection object #2790

Color images and BPZ results
Catalog: 2790.cat
Black segments are analyzed here.   Roll mouse over color images to view segments.
Best viewed in a wide browser window (1200 pixels or more).   Download SED & P(z) plots to view larger versions.
In P(z) plots: Yellow lines mark the cluster redshift z = 0.300,  

Object #2790   x,y = (4425, 2844)   RA, Dec = (02:45:16.728, -53:02:06.36) = (41.31970, -53.03510)   BPZ = 3.631 [3.513--3.746]   type = 11.00 (SB11_A_0_l)   chisq2 = 21.30   ODDS = 1.00   z_cluster = 0.300