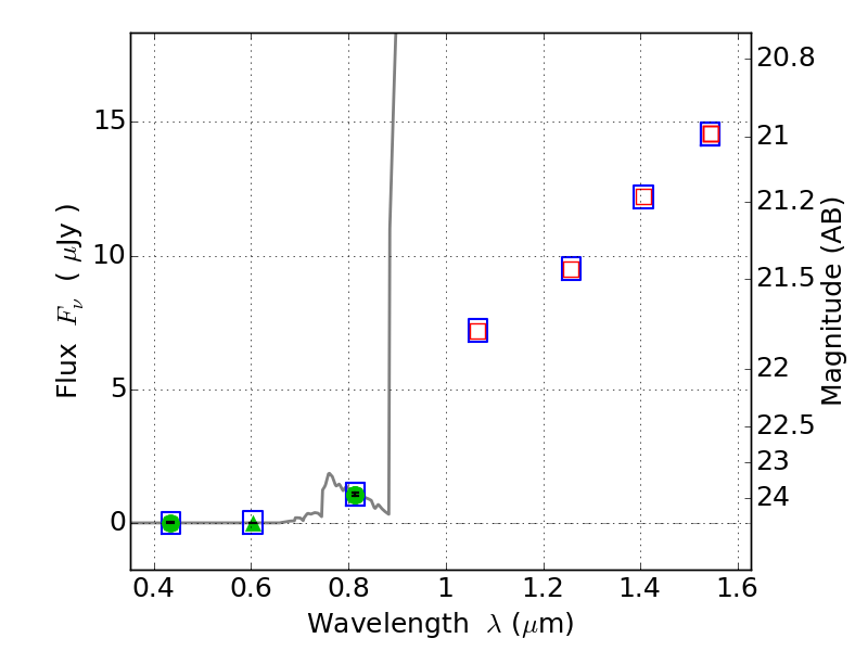
ABELLS295 ACS+IR detection object #2446

Color images and BPZ results
Catalog: 2446.cat
Black segments are analyzed here.   Roll mouse over color images to view segments.
Best viewed in a wide browser window (1200 pixels or more).   Download SED & P(z) plots to view larger versions.
In P(z) plots: Yellow lines mark the cluster redshift z = 0.300,  

Object #2446   x,y = (842, 3019)   RA, Dec = (02:45:40.560, -53:01:55.92) = (41.41900, -53.03220)   BPZ = 6.274 [5.884--8.744]   type = 6.00 (Sbc_B10)   chisq2 = 0.00   ODDS = 0.41   z_cluster = 0.300