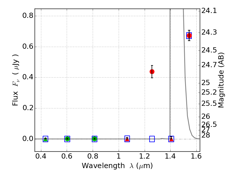
ABELLS295 ACS+IR detection object #2438

Color images and BPZ results
Catalog: 2438.cat
Black segments are analyzed here.   Roll mouse over color images to view segments.
Best viewed in a wide browser window (1200 pixels or more).   Download SED & P(z) plots to view larger versions.
In P(z) plots: Yellow lines mark the cluster redshift z = 0.300,  

Object #2438   x,y = (1661, 3396)   RA, Dec = (02:45:35.112, -53:01:33.24) = (41.39630, -53.02590)   BPZ = 12.640 [12.204--12.977]   type = 11.00 (SB11_A_0_l)   chisq2 = 7.58   ODDS = 1.00   z_cluster = 0.300