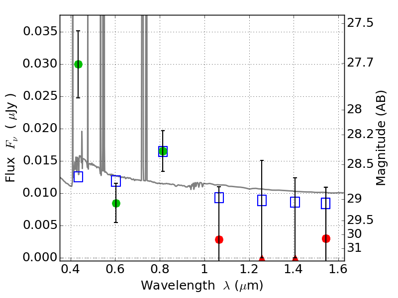
ABELLS295 ACS+IR detection object #2294

Color images and BPZ results
Catalog: 2294.cat
Black segments are analyzed here.   Roll mouse over color images to view segments.
Best viewed in a wide browser window (1200 pixels or more).   Download SED & P(z) plots to view larger versions.
In P(z) plots: Yellow lines mark the cluster redshift z = 0.300,  

Object #2294   x,y = (2924, 3085)   RA, Dec = (02:45:26.712, -53:01:51.96) = (41.36130, -53.03110)   BPZ = 0.103 [0.090--2.629]   type = 11.00 (SB11_A_0_l)   chisq2 = 2.08   ODDS = 0.13   z_cluster = 0.300