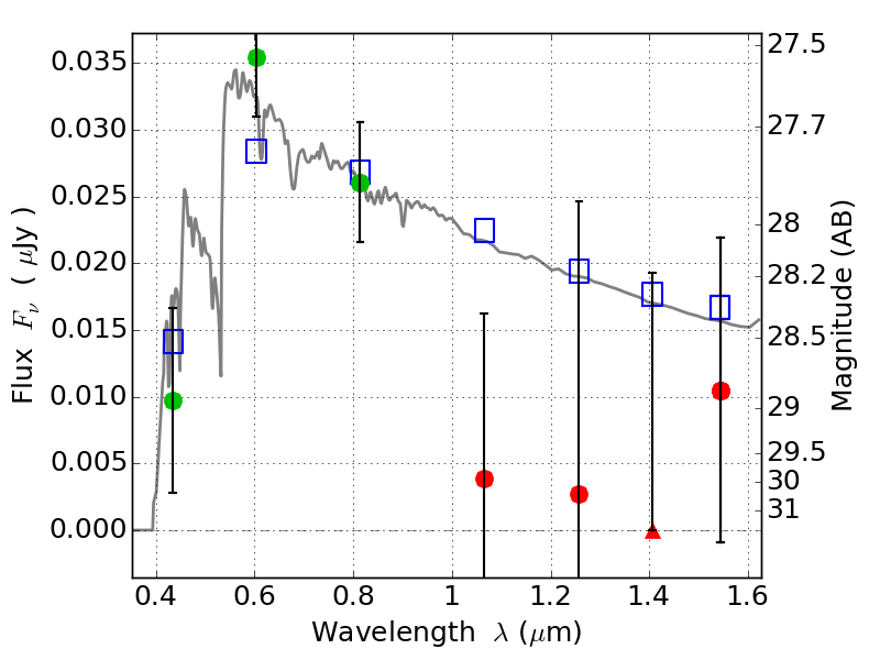
ABELLS295 ACS+IR detection object #2079

Color images and BPZ results
Catalog: 2079.cat
Black segments are analyzed here.   Roll mouse over color images to view segments.
Best viewed in a wide browser window (1200 pixels or more).   Download SED & P(z) plots to view larger versions.
In P(z) plots: Yellow lines mark the cluster redshift z = 0.300,  

Object #2079   x,y = (1882, 3173)   RA, Dec = (02:45:33.648, -53:01:46.92) = (41.39020, -53.02970)   BPZ = 3.377 [0.067--3.742]   type = 11.00 (SB11_A_0_l)   chisq2 = 1.01   ODDS = 0.42   z_cluster = 0.300