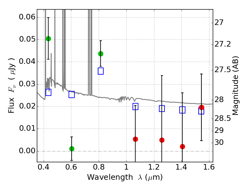
ABELLS295 ACS+IR detection object #2073

Color images and BPZ results
Catalog: 2073.cat
Black segments are analyzed here.   Roll mouse over color images to view segments.
Best viewed in a wide browser window (1200 pixels or more).   Download SED & P(z) plots to view larger versions.
In P(z) plots: Yellow lines mark the cluster redshift z = 0.300,  

Object #2073   x,y = (2217, 3175)   RA, Dec = (02:45:31.416, -53:01:46.56) = (41.38090, -53.02960)   BPZ = 0.114 [0.093--4.983]   type = 11.00 (SB11_A_0_l)   chisq2 = 4.13   ODDS = 0.32   z_cluster = 0.300