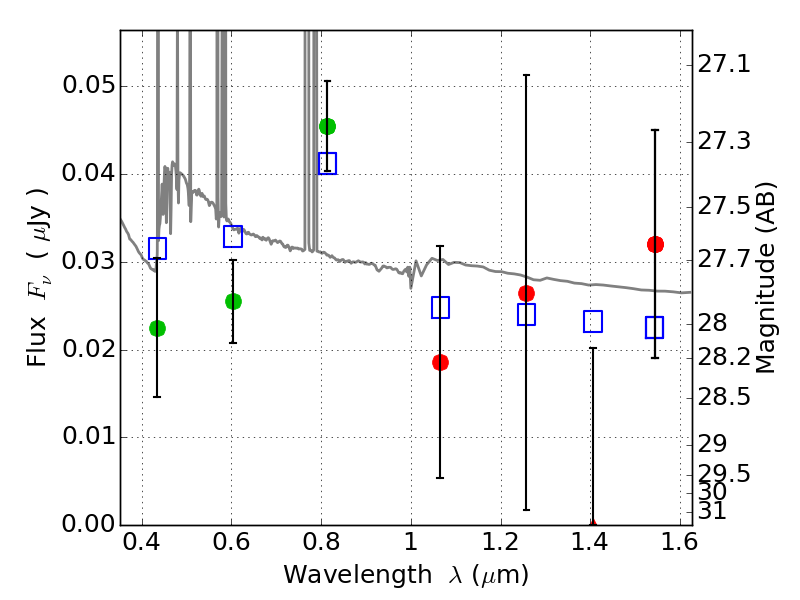
ABELLS295 ACS+IR detection object #2062

Color images and BPZ results
Catalog: 2062.cat
Black segments are analyzed here.   Roll mouse over color images to view segments.
Best viewed in a wide browser window (1200 pixels or more).   Download SED & P(z) plots to view larger versions.
In P(z) plots: Yellow lines mark the cluster redshift z = 0.300,  

Object #2062   x,y = (1989, 3180)   RA, Dec = (02:45:32.928, -53:01:46.20) = (41.38720, -53.02950)   BPZ = 0.170 [0.099--4.163]   type = 11.00 (SB11_A_0_l)   chisq2 = 1.02   ODDS = 0.30   z_cluster = 0.300