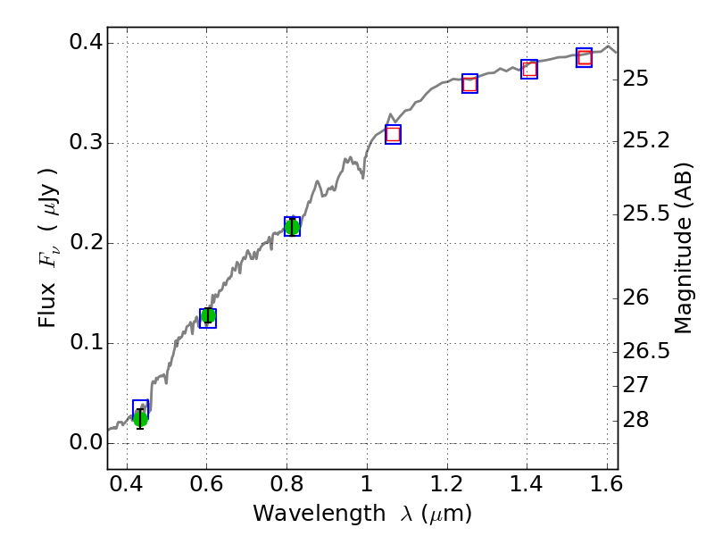
ABELLS295 ACS+IR detection object #1934

Color images and BPZ results
Catalog: 1934.cat
Black segments are analyzed here.   Roll mouse over color images to view segments.
Best viewed in a wide browser window (1200 pixels or more).   Download SED & P(z) plots to view larger versions.
In P(z) plots: Yellow lines mark the cluster redshift z = 0.300,  

Object #1934   x,y = (3796, 3225)   RA, Dec = (02:45:20.904, -53:01:43.68) = (41.33710, -53.02880)   BPZ = 0.165 [0.084--3.894]   type = 4.00 (Ell4_A_0)   chisq2 = 0.13   ODDS = 0.29   z_cluster = 0.300