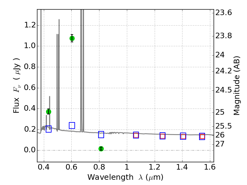
ABELLS295 ACS+IR detection object #1919

Color images and BPZ results
Catalog: 1919.cat
Black segments are analyzed here.   Roll mouse over color images to view segments.
Best viewed in a wide browser window (1200 pixels or more).   Download SED & P(z) plots to view larger versions.
In P(z) plots: Yellow lines mark the cluster redshift z = 0.300,  

Object #1919   x,y = (913, 3232)   RA, Dec = (02:45:40.080, -53:01:43.32) = (41.41700, -53.02870)   BPZ = 0.017 [0.010--0.033]   type = 11.00 (SB11_A_0_l)   chisq2 = 565.70   ODDS = 1.00   z_cluster = 0.300