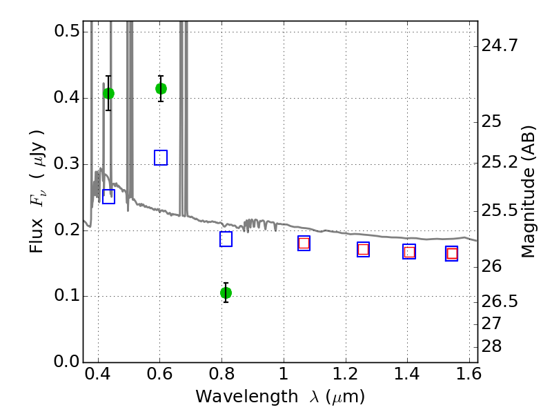
ABELLS295 ACS+IR detection object #1794

Color images and BPZ results
Catalog: 1794.cat
Black segments are analyzed here.   Roll mouse over color images to view segments.
Best viewed in a wide browser window (1200 pixels or more).   Download SED & P(z) plots to view larger versions.
In P(z) plots: Yellow lines mark the cluster redshift z = 0.300,  

Object #1794   x,y = (911, 3297)   RA, Dec = (02:45:40.080, -53:01:39.36) = (41.41700, -53.02760)   BPZ = 0.018 [0.010--0.037]   type = 11.00 (SB11_A_0_l)   chisq2 = 56.83   ODDS = 1.00   z_cluster = 0.300