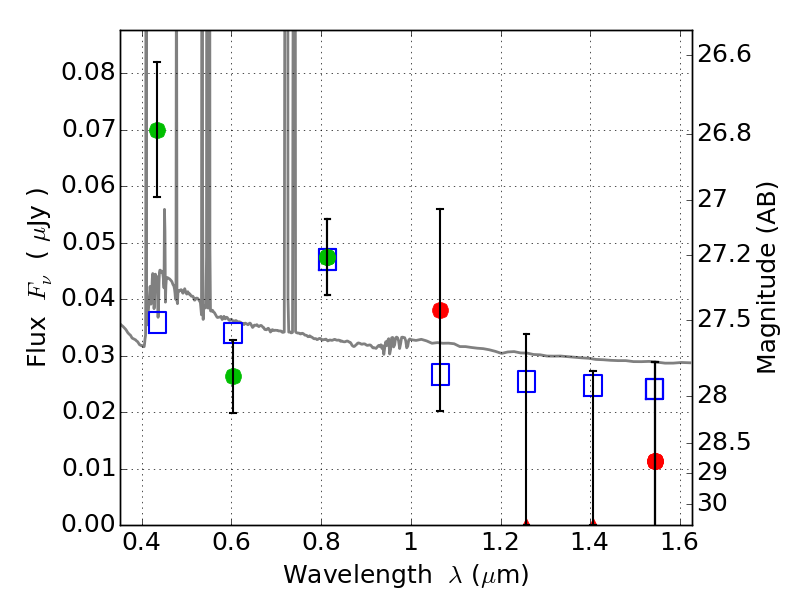
ABELLS295 ACS+IR detection object #1717

Color images and BPZ results
Catalog: 1717.cat
Black segments are analyzed here.   Roll mouse over color images to view segments.
Best viewed in a wide browser window (1200 pixels or more).   Download SED & P(z) plots to view larger versions.
In P(z) plots: Yellow lines mark the cluster redshift z = 0.300,  

Object #1717   x,y = (3080, 3324)   RA, Dec = (02:45:25.680, -53:01:37.56) = (41.35700, -53.02710)   BPZ = 0.103 [0.086--1.111]   type = 11.00 (SB11_A_0_l)   chisq2 = 1.75   ODDS = 0.25   z_cluster = 0.300