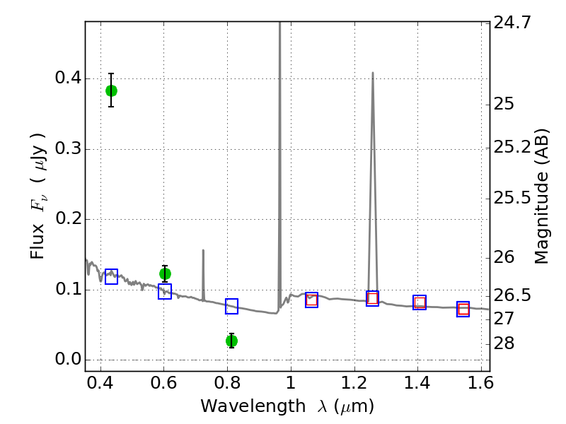
ABELLS295 ACS+IR detection object #167

Color images and BPZ results
Catalog: 167.cat
Black segments are analyzed here.   Roll mouse over color images to view segments.
Best viewed in a wide browser window (1200 pixels or more).   Download SED & P(z) plots to view larger versions.
In P(z) plots: Yellow lines mark the cluster redshift z = 0.300,  

Object #167   x,y = (1186, 4452)   RA, Dec = (02:45:38.256, -53:00:-29.88) = (41.40940, -53.00830)   BPZ = 1.594 [1.449--2.116]   type = 11.00 (SB11_A_0_l)   chisq2 = 144.70   ODDS = 0.52   z_cluster = 0.300