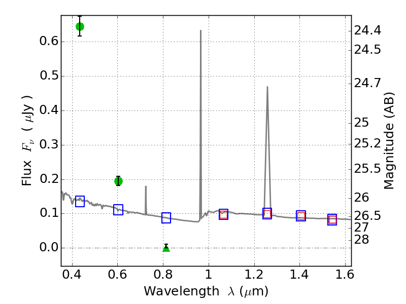
ABELLS295 ACS+IR detection object #161

Color images and BPZ results
Catalog: 161.cat
Black segments are analyzed here.   Roll mouse over color images to view segments.
Best viewed in a wide browser window (1200 pixels or more).   Download SED & P(z) plots to view larger versions.
In P(z) plots: Yellow lines mark the cluster redshift z = 0.300,  

Object #161   x,y = (1189, 4468)   RA, Dec = (02:45:38.232, -53:00:-29.16) = (41.40930, -53.00810)   BPZ = 1.594 [0.043--2.009]   type = 11.00 (SB11_A_0_l)   chisq2 = 391.90   ODDS = 0.69   z_cluster = 0.300