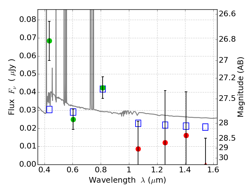
ABELLS295 ACS+IR detection object #1605

Color images and BPZ results
Catalog: 1605.cat
Black segments are analyzed here.   Roll mouse over color images to view segments.
Best viewed in a wide browser window (1200 pixels or more).   Download SED & P(z) plots to view larger versions.
In P(z) plots: Yellow lines mark the cluster redshift z = 0.300,  

Object #1605   x,y = (3193, 3367)   RA, Dec = (02:45:24.912, -53:01:35.04) = (41.35380, -53.02640)   BPZ = 0.106 [0.080--1.024]   type = 11.00 (SB11_A_0_l)   chisq2 = 2.69   ODDS = 0.47   z_cluster = 0.300