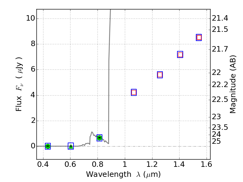
ABELLS295 ACS+IR detection object #160

Color images and BPZ results
Catalog: 160.cat
Black segments are analyzed here.   Roll mouse over color images to view segments.
Best viewed in a wide browser window (1200 pixels or more).   Download SED & P(z) plots to view larger versions.
In P(z) plots: Yellow lines mark the cluster redshift z = 0.300,  

Object #160   x,y = (1201, 4464)   RA, Dec = (02:45:38.160, -53:00:-29.16) = (41.40900, -53.00810)   BPZ = 6.251 [5.837--8.888]   type = 6.00 (Sbc_B10)   chisq2 = 0.00   ODDS = 0.38   z_cluster = 0.300