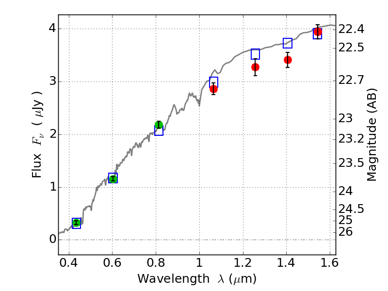
ABELLS295 ACS+IR detection object #1578

Color images and BPZ results
Catalog: 1578.cat
Black segments are analyzed here.   Roll mouse over color images to view segments.
Best viewed in a wide browser window (1200 pixels or more).   Download SED & P(z) plots to view larger versions.
In P(z) plots: Yellow lines mark the cluster redshift z = 0.300,  

Object #1578   x,y = (2352, 3263)   RA, Dec = (02:45:30.504, -53:01:41.52) = (41.37710, -53.02820)   BPZ = 0.168 [0.088--0.210]   type = 4.10 (Ell4_A_0 - ES0_B10)   chisq2 = 0.34   ODDS = 0.85   z_cluster = 0.300