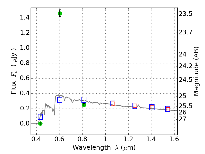
ABELLS295 ACS+IR detection object #1506

Color images and BPZ results
Catalog: 1506.cat
Black segments are analyzed here.   Roll mouse over color images to view segments.
Best viewed in a wide browser window (1200 pixels or more).   Download SED & P(z) plots to view larger versions.
In P(z) plots: Yellow lines mark the cluster redshift z = 0.300,  

Object #1506   x,y = (949, 3492)   RA, Dec = (02:45:39.840, -53:01:27.48) = (41.41600, -53.02430)   BPZ = 3.607 [3.508--3.677]   type = 11.00 (SB11_A_0_l)   chisq2 = 535.30   ODDS = 1.00   z_cluster = 0.300