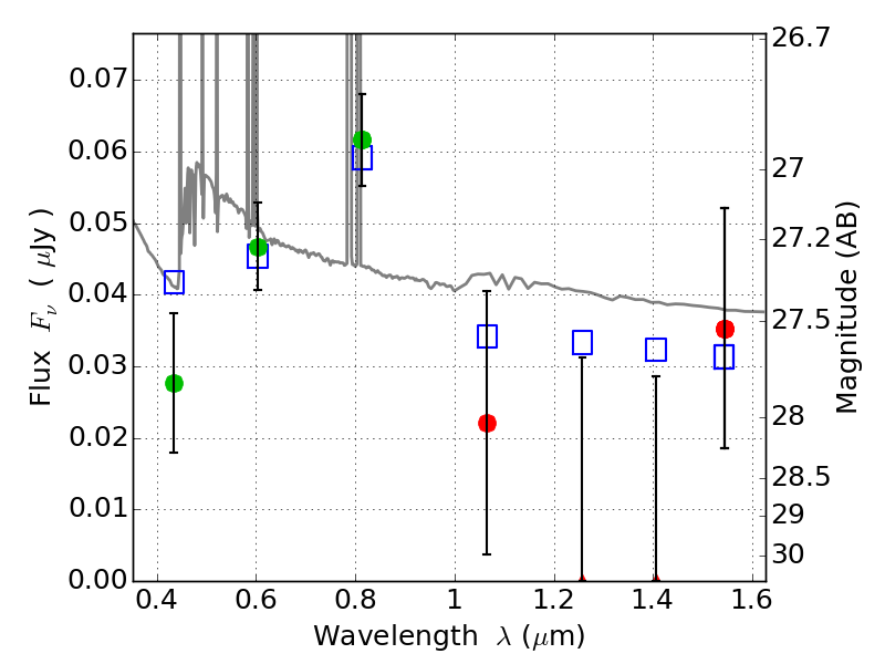
ABELLS295 ACS+IR detection object #1490

Color images and BPZ results
Catalog: 1490.cat
Black segments are analyzed here.   Roll mouse over color images to view segments.
Best viewed in a wide browser window (1200 pixels or more).   Download SED & P(z) plots to view larger versions.
In P(z) plots: Yellow lines mark the cluster redshift z = 0.300,  

Object #1490   x,y = (1495, 3500)   RA, Dec = (02:45:36.216, -53:01:27.12) = (41.40090, -53.02420)   BPZ = 0.202 [0.099--3.693]   type = 11.00 (SB11_A_0_l)   chisq2 = 0.71   ODDS = 0.39   z_cluster = 0.300