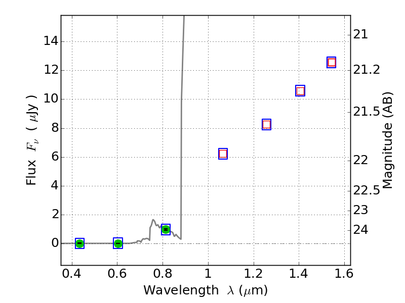
ABELLS295 ACS+IR detection object #1415

Color images and BPZ results
Catalog: 1415.cat
Black segments are analyzed here.   Roll mouse over color images to view segments.
Best viewed in a wide browser window (1200 pixels or more).   Download SED & P(z) plots to view larger versions.
In P(z) plots: Yellow lines mark the cluster redshift z = 0.300,  

Object #1415   x,y = (965, 3530)   RA, Dec = (02:45:39.744, -53:01:25.32) = (41.41560, -53.02370)   BPZ = 6.254 [5.877--8.757]   type = 6.00 (Sbc_B10)   chisq2 = 0.00   ODDS = 0.41   z_cluster = 0.300