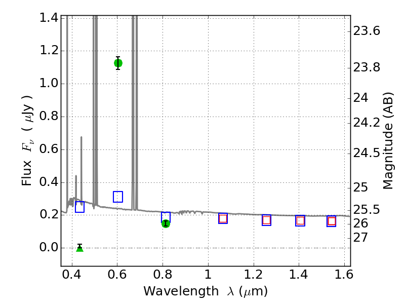
ABELLS295 ACS+IR detection object #1129

Color images and BPZ results
Catalog: 1129.cat
Black segments are analyzed here.   Roll mouse over color images to view segments.
Best viewed in a wide browser window (1200 pixels or more).   Download SED & P(z) plots to view larger versions.
In P(z) plots: Yellow lines mark the cluster redshift z = 0.300,  

Object #1129   x,y = (1024, 3685)   RA, Dec = (02:45:39.336, -53:01:15.96) = (41.41390, -53.02110)   BPZ = 0.016 [0.010--0.036]   type = 11.00 (SB11_A_0_l)   chisq2 = 436.80   ODDS = 1.00   z_cluster = 0.300