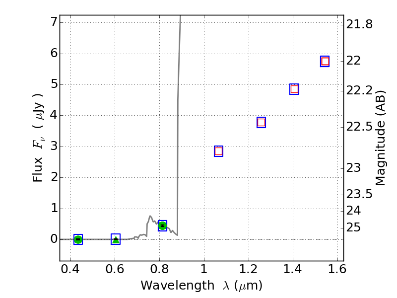
ABELLS295 ACS+IR detection object #103

Color images and BPZ results
Catalog: 103.cat
Black segments are analyzed here.   Roll mouse over color images to view segments.
Best viewed in a wide browser window (1200 pixels or more).   Download SED & P(z) plots to view larger versions.
In P(z) plots: Yellow lines mark the cluster redshift z = 0.300,  

Object #103   x,y = (1756, 4553)   RA, Dec = (02:45:34.464, -53:00:-24.12) = (41.39360, -53.00670)   BPZ = 6.250 [5.828--8.972]   type = 6.00 (Sbc_B10)   chisq2 = 0.00   ODDS = 0.37   z_cluster = 0.300