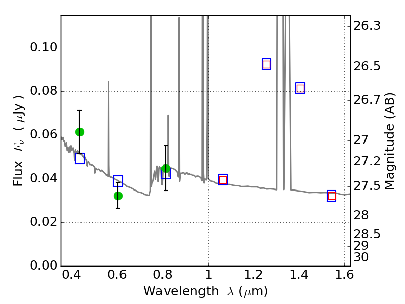
ABELL697 ACS+IR detection object #625

Color images and BPZ results
Catalog: 625.cat
Black segments are analyzed here.   Roll mouse over color images to view segments.
Best viewed in a wide browser window (1200 pixels or more).   Download SED & P(z) plots to view larger versions.
In P(z) plots: Yellow lines mark the cluster redshift z = 0.282,  

Object #625   x,y = (2578, 3663)   RA, Dec = (08:42:58.848, 36:23:00.96) = (130.74520, 36.38360)   BPZ = 1.009 [0.592--2.501]   type = 11.00 (SB11_A_0_l)   chisq2 = 1.72   ODDS = 0.15   z_cluster = 0.282