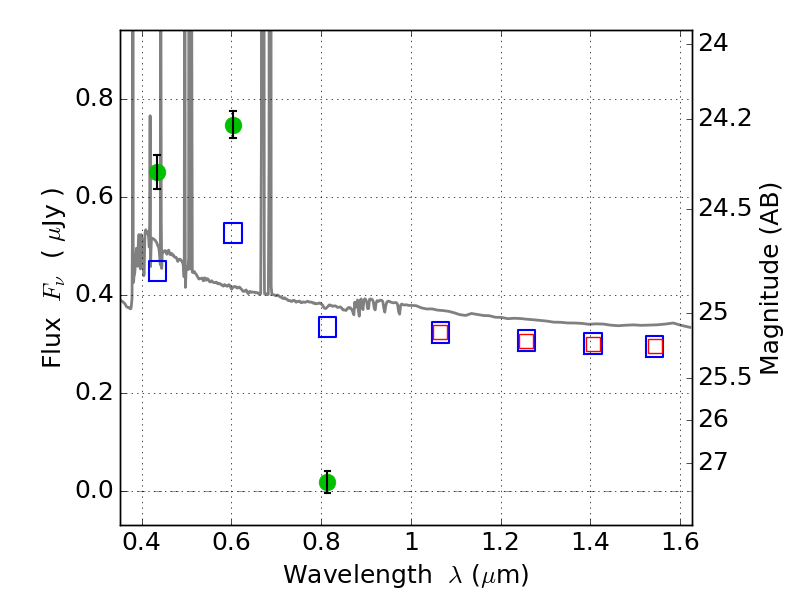
ABELL697 ACS+IR detection object #29

Color images and BPZ results
Catalog: 29.cat
Black segments are analyzed here.   Roll mouse over color images to view segments.
Best viewed in a wide browser window (1200 pixels or more).   Download SED & P(z) plots to view larger versions.
In P(z) plots: Yellow lines mark the cluster redshift z = 0.282,  

Object #29   x,y = (3409, 4520)   RA, Dec = (08:42:54.720, 36:23:52.44) = (130.72800, 36.39790)   BPZ = 0.017 [0.010--0.033]   type = 11.00 (SB11_A_0_l)   chisq2 = 100.10   ODDS = 1.00   z_cluster = 0.282