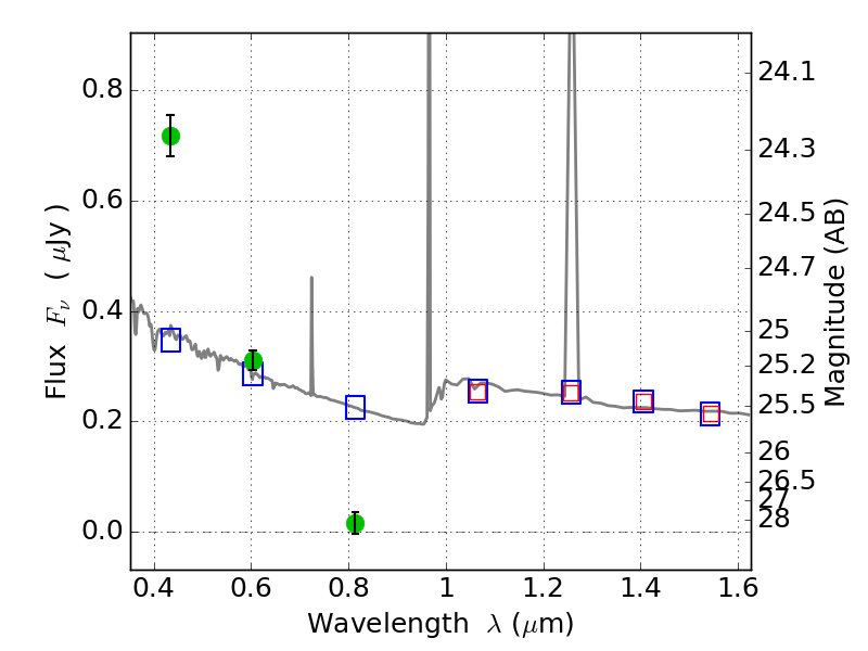
ABELL697 ACS+IR detection object #2136

Color images and BPZ results
Catalog: 2136.cat
Black segments are analyzed here.   Roll mouse over color images to view segments.
Best viewed in a wide browser window (1200 pixels or more).   Download SED & P(z) plots to view larger versions.
In P(z) plots: Yellow lines mark the cluster redshift z = 0.282,  

Object #2136   x,y = (357, 2987)   RA, Dec = (08:43:09.888, 36:22:20.64) = (130.79120, 36.37240)   BPZ = 1.593 [1.488--2.036]   type = 11.00 (SB11_A_0_l)   chisq2 = 117.20   ODDS = 0.68   z_cluster = 0.282