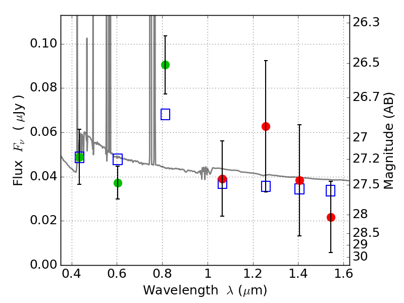
ABELL697 ACS+IR detection object #1619

Color images and BPZ results
Catalog: 1619.cat
Black segments are analyzed here.   Roll mouse over color images to view segments.
Best viewed in a wide browser window (1200 pixels or more).   Download SED & P(z) plots to view larger versions.
In P(z) plots: Yellow lines mark the cluster redshift z = 0.282,  

Object #1619   x,y = (1752, 2796)   RA, Dec = (08:43:02.952, 36:22:09.12) = (130.76230, 36.36920)   BPZ = 0.137 [0.094--1.419]   type = 11.00 (SB11_A_0_l)   chisq2 = 1.36   ODDS = 0.29   z_cluster = 0.282