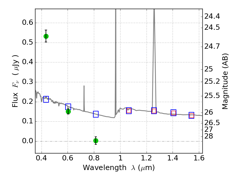
ABELL697 ACS+IR detection object #1042

Color images and BPZ results
Catalog: 1042.cat
Black segments are analyzed here.   Roll mouse over color images to view segments.
Best viewed in a wide browser window (1200 pixels or more).   Download SED & P(z) plots to view larger versions.
In P(z) plots: Yellow lines mark the cluster redshift z = 0.282,  

Object #1042   x,y = (3960, 3500)   RA, Dec = (08:42:51.984, 36:22:51.24) = (130.71660, 36.38090)   BPZ = 1.593 [1.403--2.134]   type = 11.00 (SB11_A_0_l)   chisq2 = 126.00   ODDS = 0.49   z_cluster = 0.282