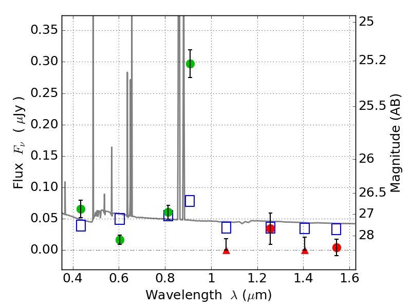
ABELL665 ACS+IR detection object #6871

Color images and BPZ results
Catalog: 6871.cat
Black segments are analyzed here.   Roll mouse over color images to view segments.
Best viewed in a wide browser window (1200 pixels or more).   Download SED & P(z) plots to view larger versions.
In P(z) plots: Yellow lines mark the cluster redshift z = 0.182,  

Object #6871   x,y = (3456, 1510)   RA, Dec = (08:30:55.392, 65:49:40.80) = (127.73080, 65.82800)   BPZ = 0.315 [0.276--0.355]   type = 11.00 (SB11_A_0_l)   chisq2 = 24.24   ODDS = 0.99   z_cluster = 0.182