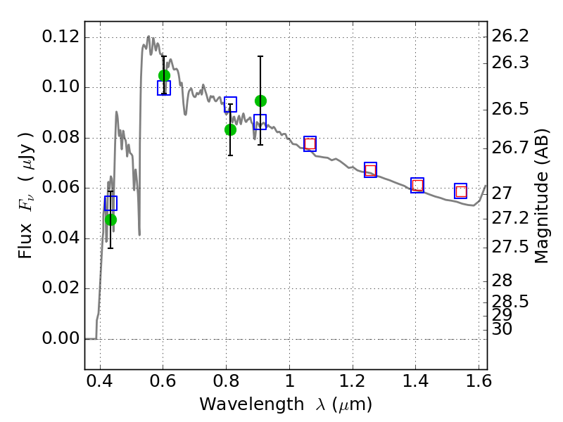
ABELL665 ACS+IR detection object #3250

Color images and BPZ results
Catalog: 3250.cat
Black segments are analyzed here.   Roll mouse over color images to view segments.
Best viewed in a wide browser window (1200 pixels or more).   Download SED & P(z) plots to view larger versions.
In P(z) plots: Yellow lines mark the cluster redshift z = 0.182,  

Object #3250   x,y = (1637, 2774)   RA, Dec = (08:31:13.152, 65:50:56.76) = (127.80480, 65.84910)   BPZ = 3.329 [0.370--3.550]   type = 11.00 (SB11_A_0_l)   chisq2 = 1.39   ODDS = 0.57   z_cluster = 0.182