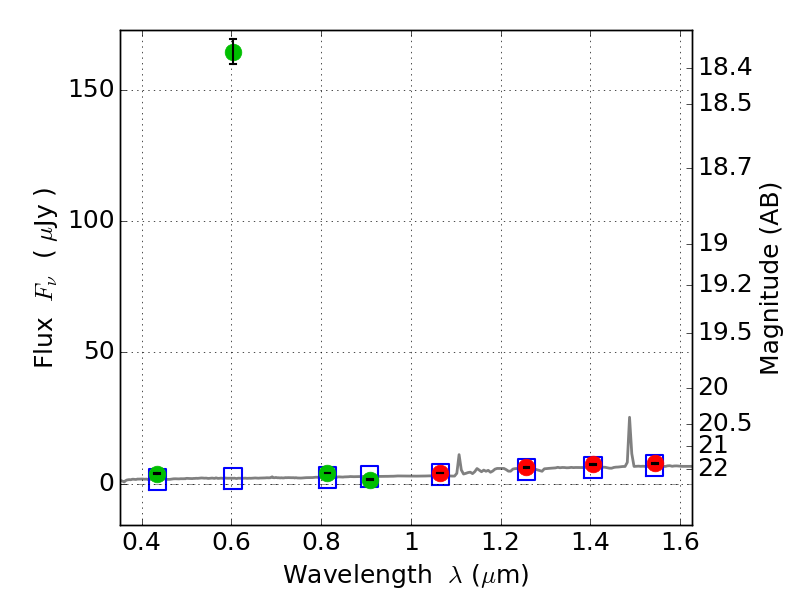
ABELL665 ACS+IR detection object #3212

Color images and BPZ results
Catalog: 3212.cat
Black segments are analyzed here.   Roll mouse over color images to view segments.
Best viewed in a wide browser window (1200 pixels or more).   Download SED & P(z) plots to view larger versions.
In P(z) plots: Yellow lines mark the cluster redshift z = 0.182,  

Object #3212   x,y = (4093, 2698)   RA, Dec = (08:30:49.152, 65:50:52.08) = (127.70480, 65.84780)   BPZ = 1.968 [1.852--2.021]   type = 8.60 (SB2_B10 - SB1_B10)   chisq2 = 233.10   ODDS = 0.98   z_cluster = 0.182