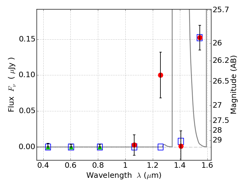
ABELL520 IR detection object #982

Color images and BPZ results
Catalog: 982.cat
Black segments are analyzed here.   Roll mouse over color images to view segments.
Best viewed in a wide browser window (1200 pixels or more).   Download SED & P(z) plots to view larger versions.
In P(z) plots: Yellow lines mark the cluster redshift z = 0.203,  

Object #982   x,y = (4394, 2692)   RA, Dec = (04:54:07.896, 02:54:33.48) = (73.53290, 2.90930)   BPZ = 12.112 [2.627--12.920]   type = 7.00 (Scd_B10)   chisq2 = 2.29   ODDS = 0.39   z_cluster = 0.203