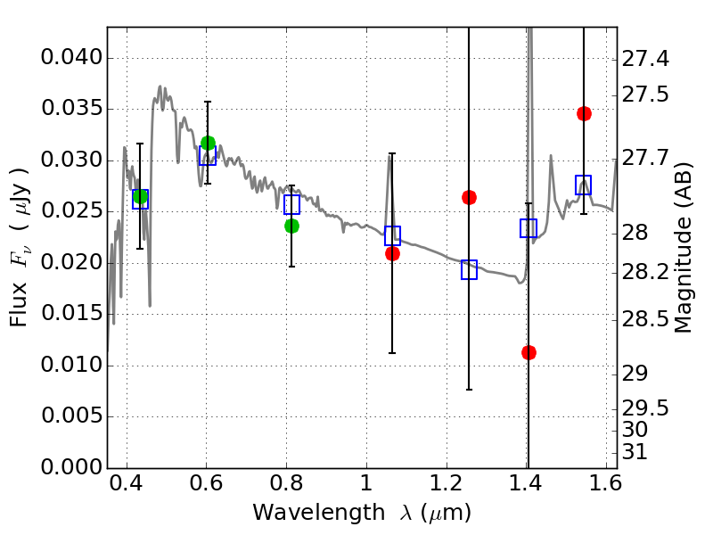
ABELL520 IR detection object #965

Color images and BPZ results
Catalog: 965.cat
Black segments are analyzed here.   Roll mouse over color images to view segments.
Best viewed in a wide browser window (1200 pixels or more).   Download SED & P(z) plots to view larger versions.
In P(z) plots: Yellow lines mark the cluster redshift z = 0.203,  

Object #965   x,y = (5297, 2739)   RA, Dec = (04:54:04.272, 02:54:36.36) = (73.51780, 2.91010)   BPZ = 2.785 [0.550--3.133]   type = 10.60 (SB11_A_0_l - SB3_B10)   chisq2 = 0.41   ODDS = 0.26   z_cluster = 0.203