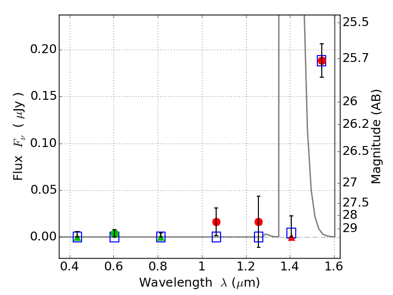
ABELL520 IR detection object #91

Color images and BPZ results
Catalog: 91.cat
Black segments are analyzed here.   Roll mouse over color images to view segments.
Best viewed in a wide browser window (1200 pixels or more).   Download SED & P(z) plots to view larger versions.
In P(z) plots: Yellow lines mark the cluster redshift z = 0.203,  

Object #91   x,y = (6139, 1074)   RA, Dec = (04:54:00.912, 02:52:56.64) = (73.50380, 2.88240)   BPZ = 12.228 [10.915--12.958]   type = 11.00 (SB11_A_0_l)   chisq2 = 0.27   ODDS = 0.77   z_cluster = 0.203