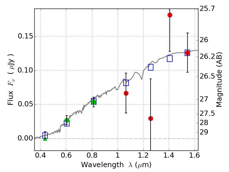
ABELL520 IR detection object #842

Color images and BPZ results
Catalog: 842.cat
Black segments are analyzed here.   Roll mouse over color images to view segments.
Best viewed in a wide browser window (1200 pixels or more).   Download SED & P(z) plots to view larger versions.
In P(z) plots: Yellow lines mark the cluster redshift z = 0.203,  

Object #842   x,y = (2291, 3784)   RA, Dec = (04:54:16.320, 02:55:39.00) = (73.56800, 2.92750)   BPZ = 0.388 [0.149--4.227]   type = 3.00 (Ell5_A_0)   chisq2 = 0.90   ODDS = 0.19   z_cluster = 0.203