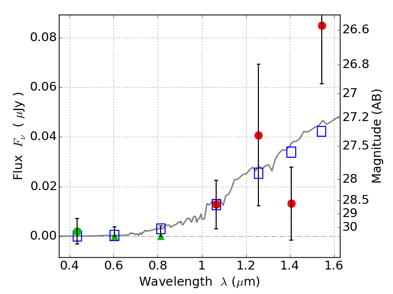
ABELL520 IR detection object #75

Color images and BPZ results
Catalog: 75.cat
Black segments are analyzed here.   Roll mouse over color images to view segments.
Best viewed in a wide browser window (1200 pixels or more).   Download SED & P(z) plots to view larger versions.
In P(z) plots: Yellow lines mark the cluster redshift z = 0.203,  

Object #75   x,y = (4958, 1011)   RA, Dec = (04:54:05.640, 02:52:52.68) = (73.52350, 2.88130)   BPZ = 1.551 [0.911--9.089]   type = 2.00 (Ell6_A_0)   chisq2 = 1.47   ODDS = 0.07   z_cluster = 0.203