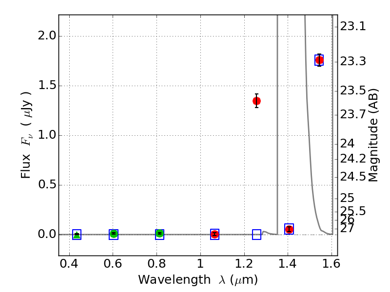
ABELL520 IR detection object #701

Color images and BPZ results
Catalog: 701.cat
Black segments are analyzed here.   Roll mouse over color images to view segments.
Best viewed in a wide browser window (1200 pixels or more).   Download SED & P(z) plots to view larger versions.
In P(z) plots: Yellow lines mark the cluster redshift z = 0.203,  

Object #701   x,y = (2313, 4364)   RA, Dec = (04:54:16.224, 02:56:13.92) = (73.56760, 2.93720)   BPZ = 12.215 [12.084--12.917]   type = 6.00 (Sbc_B10)   chisq2 = 24.61   ODDS = 0.92   z_cluster = 0.203