ABELL520 IR detection object #622

Color images and BPZ results
Catalog: 622.cat
Black segments are analyzed here.   Roll mouse over color images to view segments.
Best viewed in a wide browser window (1200 pixels or more).   Download SED & P(z) plots to view larger versions.
In P(z) plots: Yellow lines mark the cluster redshift z = 0.203,  

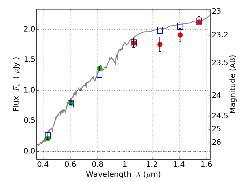
Object #622   x,y = (2156, 4540)   RA, Dec = (04:54:16.872, 02:56:24.36) = (73.57030, 2.94010)   BPZ = 0.095 [0.054--0.133]   type = 4.00 (Ell4_A_0)   chisq2 = 0.67   ODDS = 0.97   z_cluster = 0.203