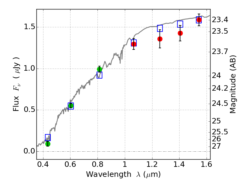
ABELL520 IR detection object #561

Color images and BPZ results
Catalog: 561.cat
Black segments are analyzed here.   Roll mouse over color images to view segments.
Best viewed in a wide browser window (1200 pixels or more).   Download SED & P(z) plots to view larger versions.
In P(z) plots: Yellow lines mark the cluster redshift z = 0.203,  

Object #561   x,y = (5553, 2239)   RA, Dec = (04:54:03.264, 02:54:06.48) = (73.51360, 2.90180)   BPZ = 0.129 [0.079--4.030]   type = 4.00 (Ell4_A_0)   chisq2 = 0.55   ODDS = 0.31   z_cluster = 0.203