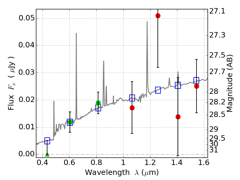
ABELL520 IR detection object #47

Color images and BPZ results
Catalog: 47.cat
Black segments are analyzed here.   Roll mouse over color images to view segments.
Best viewed in a wide browser window (1200 pixels or more).   Download SED & P(z) plots to view larger versions.
In P(z) plots: Yellow lines mark the cluster redshift z = 0.203,  

Object #47   x,y = (5624, 865)   RA, Dec = (04:54:02.976, 02:52:44.04) = (73.51240, 2.87890)   BPZ = 0.301 [0.128--4.507]   type = 7.80 (SB1_B10 - Scd_B10)   chisq2 = 0.98   ODDS = 0.07   z_cluster = 0.203