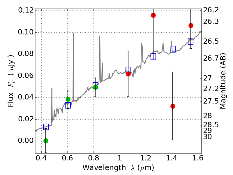
ABELL520 IR detection object #350

Color images and BPZ results
Catalog: 350.cat
Black segments are analyzed here.   Roll mouse over color images to view segments.
Best viewed in a wide browser window (1200 pixels or more).   Download SED & P(z) plots to view larger versions.
In P(z) plots: Yellow lines mark the cluster redshift z = 0.203,  

Object #350   x,y = (5240, 1803)   RA, Dec = (04:54:04.512, 02:53:40.20) = (73.51880, 2.89450)   BPZ = 0.295 [0.102--4.130]   type = 7.30 (Scd_B10 - SB1_B10)   chisq2 = 1.33   ODDS = 0.09   z_cluster = 0.203