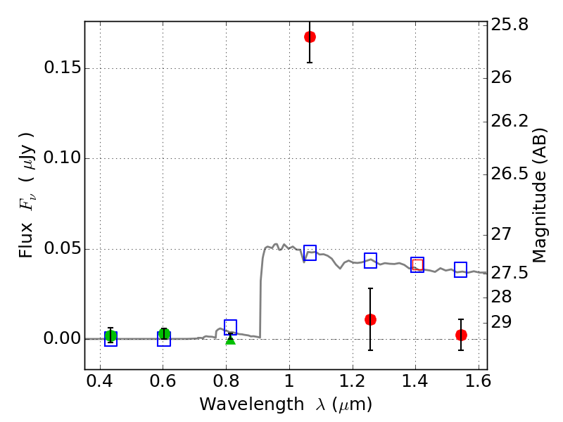
ABELL520 IR detection object #347

Color images and BPZ results
Catalog: 347.cat
Black segments are analyzed here.   Roll mouse over color images to view segments.
Best viewed in a wide browser window (1200 pixels or more).   Download SED & P(z) plots to view larger versions.
In P(z) plots: Yellow lines mark the cluster redshift z = 0.203,  

Object #347   x,y = (4370, 1794)   RA, Dec = (04:54:07.992, 02:53:39.84) = (73.53330, 2.89440)   BPZ = 6.476 [6.284--6.838]   type = 11.00 (SB11_A_0_l)   chisq2 = 29.14   ODDS = 0.94   z_cluster = 0.203