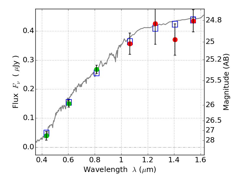
ABELL520 IR detection object #280

Color images and BPZ results
Catalog: 280.cat
Black segments are analyzed here.   Roll mouse over color images to view segments.
Best viewed in a wide browser window (1200 pixels or more).   Download SED & P(z) plots to view larger versions.
In P(z) plots: Yellow lines mark the cluster redshift z = 0.203,  

Object #280   x,y = (4386, 1647)   RA, Dec = (04:54:07.920, 02:53:30.84) = (73.53300, 2.89190)   BPZ = 0.118 [0.044--3.841]   type = 4.00 (Ell4_A_0)   chisq2 = 0.26   ODDS = 0.45   z_cluster = 0.203