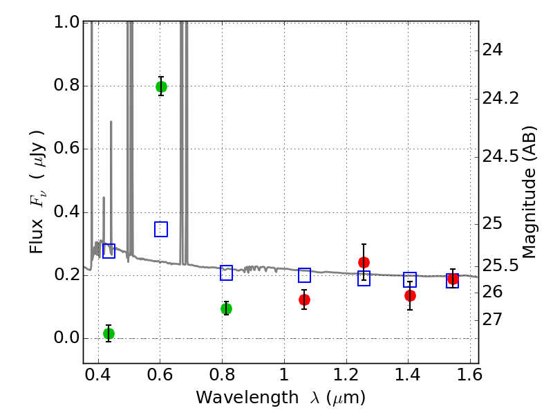
ABELL520 IR detection object #1679

Color images and BPZ results
Catalog: 1679.cat
Black segments are analyzed here.   Roll mouse over color images to view segments.
Best viewed in a wide browser window (1200 pixels or more).   Download SED & P(z) plots to view larger versions.
In P(z) plots: Yellow lines mark the cluster redshift z = 0.203,  

Object #1679   x,y = (607, 5135)   RA, Dec = (04:54:23.064, 02:57:00.36) = (73.59610, 2.95010)   BPZ = 0.016 [0.010--0.036]   type = 11.00 (SB11_A_0_l)   chisq2 = 53.85   ODDS = 1.00   z_cluster = 0.203