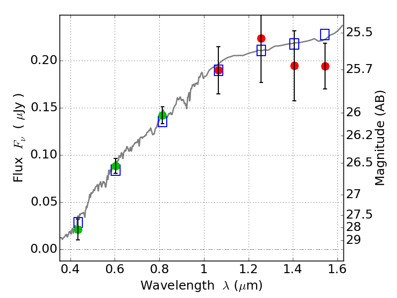
ABELL520 IR detection object #1647

Color images and BPZ results
Catalog: 1647.cat
Black segments are analyzed here.   Roll mouse over color images to view segments.
Best viewed in a wide browser window (1200 pixels or more).   Download SED & P(z) plots to view larger versions.
In P(z) plots: Yellow lines mark the cluster redshift z = 0.203,  

Object #1647   x,y = (1463, 5411)   RA, Dec = (04:54:19.632, 02:57:16.92) = (73.58180, 2.95470)   BPZ = 0.085 [0.049--3.945]   type = 4.00 (Ell4_A_0)   chisq2 = 0.53   ODDS = 0.11   z_cluster = 0.203