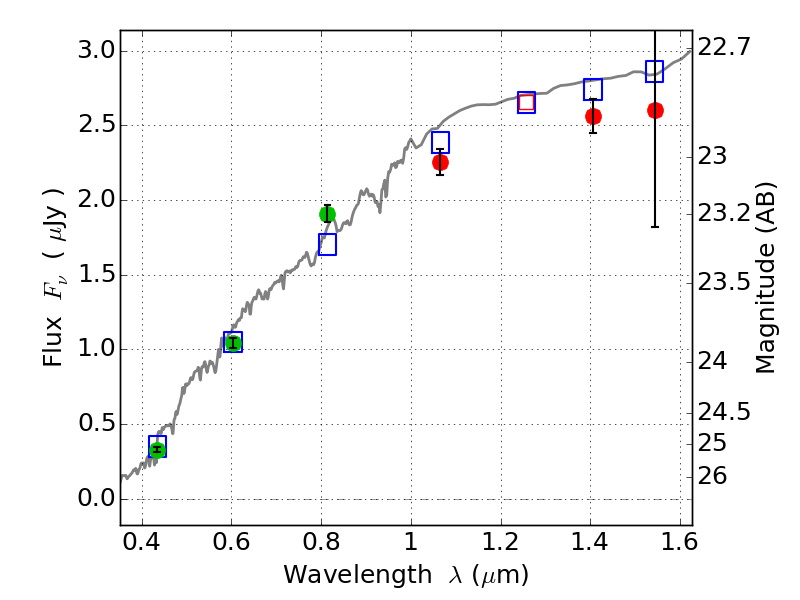
ABELL520 IR detection object #1616

Color images and BPZ results
Catalog: 1616.cat
Black segments are analyzed here.   Roll mouse over color images to view segments.
Best viewed in a wide browser window (1200 pixels or more).   Download SED & P(z) plots to view larger versions.
In P(z) plots: Yellow lines mark the cluster redshift z = 0.203,  

Object #1616   x,y = (2456, 5515)   RA, Dec = (04:54:15.672, 02:57:23.04) = (73.56530, 2.95640)   BPZ = 0.088 [0.052--0.123]   type = 4.00 (Ell4_A_0)   chisq2 = 0.76   ODDS = 0.98   z_cluster = 0.203