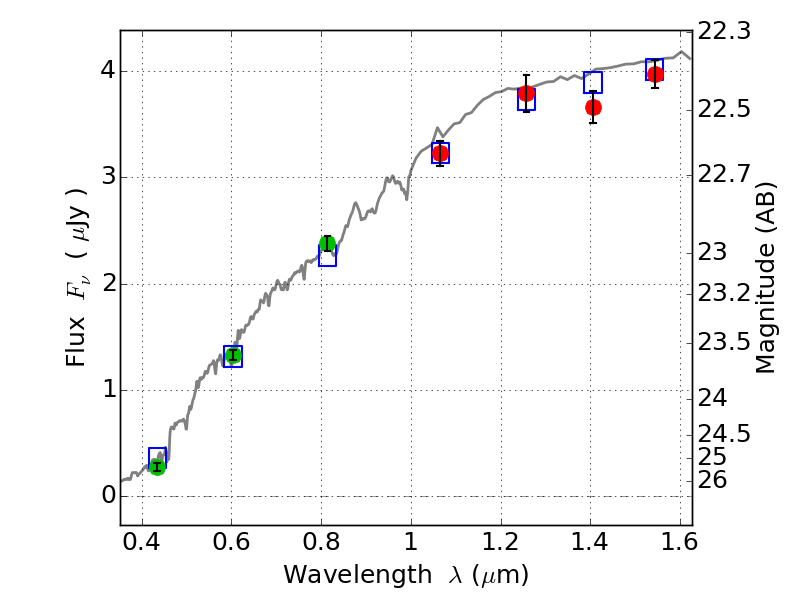
ABELL520 IR detection object #1601

Color images and BPZ results
Catalog: 1601.cat
Black segments are analyzed here.   Roll mouse over color images to view segments.
Best viewed in a wide browser window (1200 pixels or more).   Download SED & P(z) plots to view larger versions.
In P(z) plots: Yellow lines mark the cluster redshift z = 0.203,  

Object #1601   x,y = (2330, 5550)   RA, Dec = (04:54:16.176, 02:57:25.20) = (73.56740, 2.95700)   BPZ = 0.160 [0.092--0.195]   type = 4.00 (Ell4_A_0)   chisq2 = 0.22   ODDS = 0.90   z_cluster = 0.203