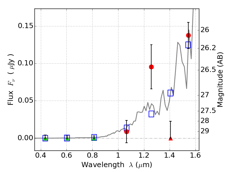
ABELL520 IR detection object #1510

Color images and BPZ results
Catalog: 1510.cat
Black segments are analyzed here.   Roll mouse over color images to view segments.
Best viewed in a wide browser window (1200 pixels or more).   Download SED & P(z) plots to view larger versions.
In P(z) plots: Yellow lines mark the cluster redshift z = 0.203,  

Object #1510   x,y = (943, 5916)   RA, Dec = (04:54:21.720, 02:57:47.16) = (73.59050, 2.96310)   BPZ = 4.491 [2.186--12.633]   type = 4.00 (Ell4_A_0)   chisq2 = 2.75   ODDS = 0.13   z_cluster = 0.203