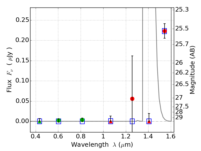
ABELL520 IR detection object #1490

Color images and BPZ results
Catalog: 1490.cat
Black segments are analyzed here.   Roll mouse over color images to view segments.
Best viewed in a wide browser window (1200 pixels or more).   Download SED & P(z) plots to view larger versions.
In P(z) plots: Yellow lines mark the cluster redshift z = 0.203,  

Object #1490   x,y = (1583, 5977)   RA, Dec = (04:54:19.152, 02:57:50.76) = (73.57980, 2.96410)   BPZ = 12.293 [11.821--12.964]   type = 11.00 (SB11_A_0_l)   chisq2 = 0.09   ODDS = 0.85   z_cluster = 0.203