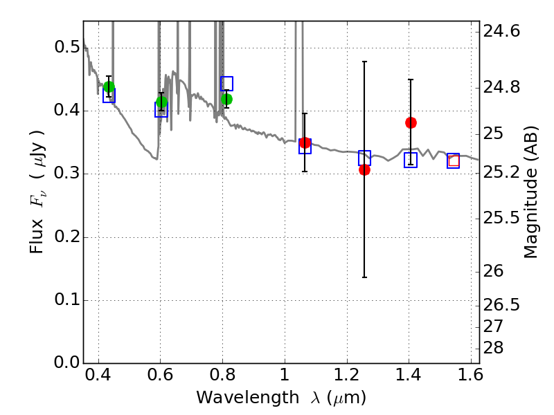
ABELL520 IR detection object #1440

Color images and BPZ results
Catalog: 1440.cat
Black segments are analyzed here.   Roll mouse over color images to view segments.
Best viewed in a wide browser window (1200 pixels or more).   Download SED & P(z) plots to view larger versions.
In P(z) plots: Yellow lines mark the cluster redshift z = 0.203,  

Object #1440   x,y = (1137, 6080)   RA, Dec = (04:54:20.952, 02:57:56.88) = (73.58730, 2.96580)   BPZ = 0.604 [0.535--2.636]   type = 11.00 (SB11_A_0_l)   chisq2 = 0.51   ODDS = 0.25   z_cluster = 0.203