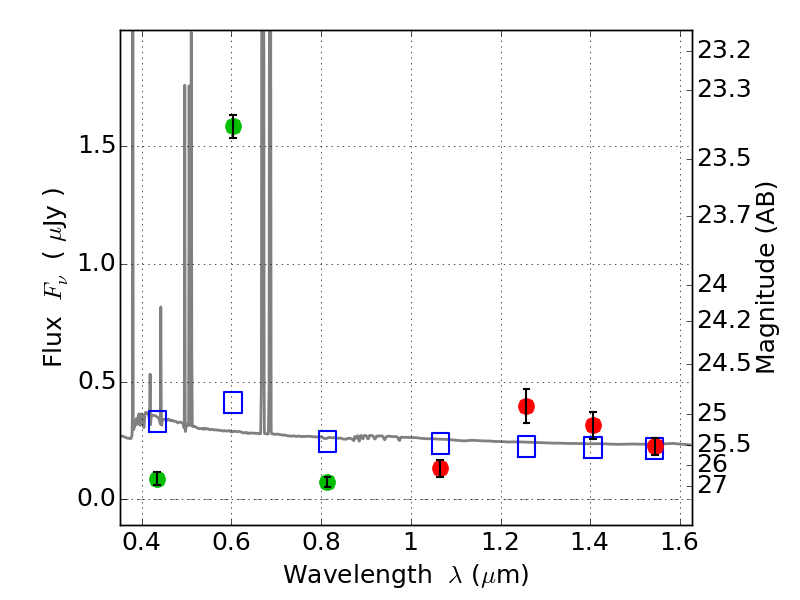
ABELL520 IR detection object #1399

Color images and BPZ results
Catalog: 1399.cat
Black segments are analyzed here.   Roll mouse over color images to view segments.
Best viewed in a wide browser window (1200 pixels or more).   Download SED & P(z) plots to view larger versions.
In P(z) plots: Yellow lines mark the cluster redshift z = 0.203,  

Object #1399   x,y = (624, 5126)   RA, Dec = (04:54:22.992, 02:56:59.64) = (73.59580, 2.94990)   BPZ = 0.016 [0.010--0.032]   type = 11.00 (SB11_A_0_l)   chisq2 = 126.10   ODDS = 1.00   z_cluster = 0.203